抗炎症薬立体構造


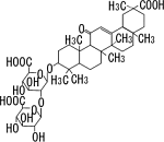
グリチルリチン(注意参照)

酢酸ヒドロコルチゾン

フルオシノロンアセトニド

吉草酸ベタメタゾン

吉草酸ベタメタゾン

注意)グリチルリチンは、甘草の成分でその基本骨格はグリチルリチン酸でそれに、2個の糖が結合しています。大衆薬の領域では、グリチルリチンを使用するより甘草エキスを使う場合がほとんどで、内服薬に使う場合には糖の部分の-COOHが-COOKとなったグリチルリチン酸二カリウムを使用しています。


戻る