昔から、真空管パワーアンプは2〜3倍の出力のTRアンプに匹敵する、と言われています。真空管アンプは出力を上げると歪みが徐々に増えるソフトディストーション型だからといわれていますが、その理論的な裏付けというのは聞いたことがありません。歪みが徐々に増えるアンプならば、何でもよいのでしょうか。また、3極管PPアンプに比べて、5極管PPアンプは力強い音がするともいわれています。しかし、両者の歪み成分の違いについて詳しく述べた資料はあまりないようです。実はこのような性質は、アンプの奇数次歪みに着目すれば、以下のように簡単に説明が可能なのです。
普通、アンプの最大出力がダイナミックレンジの指標として使われるわけですが、入力電圧に着目してみることにします。最大出力100WのTRアンプを考えてみましょう。出力1Wを得るのに必要な入力電圧が0.1Vだったとすれば、1Vの電圧を入力に加えれば出力は102=100倍の100Wになります。それ以上の入力電圧を加えても急激に歪んでしまい、使いものになりません(図1a)。これに対して、最大出力70Wの真空管アンプは、10倍の入力電圧を加えてもまだ最大出力に達していない可能性があるのです。それは、出力電圧が入力電圧に比例しないリミッタ効果によるものです。この場合、出力は50Wでも入力電圧は1W出力の時の10倍、すなわち100W相当ということがありえます(図1b)。例えば歪み率を5%以下としたときの最大入力電圧をEimax、1Wの出力を得るのに必要な入力電圧をEi1Wとするとき、入力余裕度を

で定義します(単位W相当)。入力余裕度の高いアンプほど、平均的な聴取音量を上げてもピーク出力時の歪みが耳につきません。従って、よく使われる出力対歪み率のグラフではなく、入力対歪み率のグラフの方が重要だということになります。
PPアンプでは、正しくバランスをとることにより、偶数次の歪みはキャンセルされて出力には現れません。従って歪みの主成分は、3次、5次などの奇数次高調波ということになります。奇数次高調波には図2のように、波形をとがらせる位相と、波形をつぶす位相があり、アンプによって出てくる位相が異なります。例えば、3極管PPは波形をとがらせる位相、5極管PPは波形をつぶす位相の歪みを発生することが多く、3極管PPでもグリッド電流が流れる領域で用いれば、波形をつぶす位相の歪みが発生します。波形をつぶす位相の歪みがある場合、入力電圧を大きくしても出力は余り増加しない、と言うリミッタ効果が得られ、入力余裕度を向上させることができます。
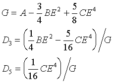
簡単なモデルとして、出力段の動特性曲線を多項式で近似してみます。
出力電圧Eoを入力電圧Eiの多項式として、
Eo=AEi−BEi3+CEi5
と表し、Ei=Esinωtを代入して計算します。この場合の係数の符号は、波形をつぶす位相にしてあります。利得、3次歪み、5次歪みをG、D3、D5で表すとすれば、
となります。この場合、歪みのあるときの利得Gは歪みのない時の利得Aを使って、

となり、最大入力電圧は歪みのないアンプに比べて、1+3D3+5D5に増加し、入力余裕度は(1+3D3+5D5)2 に増加します。D3が4%、D5が3%とすれば、最大入力電圧は27%、入力余裕度は61%も増加することになります。
入力余裕度という指標を導入することにより、(歪みの多い)真空管アンプが同じ出力の(歪みの少ない)TRアンプより平均的に大きな音量を出せる可能性があることが理論的に説明されました。それは歪みが多ければよいというものではなく、5極管PPなど波形をつぶす位相の奇数次歪みを出すアンプが入力余裕度を増加させる、ということがわかりました。まあ、2〜3倍というのはちょっとオーバーかもしれませんが…。